The Time-Evolution Operator

Given a wave function $\Psi(x, t_0)$, at a time $t_0$, the instantaneous change can be found from the Time-Evolution operator $\hat{H}$, also known as the Hamiltonian;


\begin{displaymath}
- \imath \hbar \frac{\partial}{\partial t} \Psi(x) = \hat{H} \Psi(x)
\end{displaymath} (1)

In principle, this equation can be integrated to give the value of $\Psi(x,t)$ for later times.

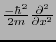
The non-relativistic Hamiltonian consists of a kinetic part, which is simply the differential operator $\frac{-\hbar^2}{2m} \frac{\partial^2}{\partial x^2}$, and a potential part which is a function of x. The simplest case is the ''free particle``, in which the potential is constant, independent of x.

Here is a video of the time evolution of a momentum eigenstate $\Phi = exp^{-\imath kx}$;

YouTube Video

The time-evolution of a momentum eigenstate consists of nothing more than a steady rotation of the phase. As you can see from the absolute magnitude displayed in the lower half of the frame, this phase rotation does not alter the ``position`` of the particle. It is equally likely to be anywhere in the coordinate space, and that fact is independent of time.

Jerome Berryhill 2013-05-09